行業資訊
路面結構內部排水系統設計研究
李會強
招商局公路網絡科技控股股份有限公司京津塘高速分公司
摘 要:鑒于水對路面結構強度和穩定性的影響,以某高速公路路面結構優化設計為例,研究了路面結構內部排水系統設計,通過計算設置了路面內部排水系統相關參數,然后探討了透水性水泥穩定碎石基層材料組成設計,結合試驗路段分析了其施工控制要點,以促進多雨地區公路路面結構內部排水系統的合理設計。
關鍵詞:路面結構;排水系統;透水基層;
作者簡介:李會強(1967—),男,貴州遵義人,高級工程師,研究方向為道路橋梁工程。;

0 引言
路基路面排水系統的主要功能和目的是將地表水、地下水等排出公路工程影響范圍外,確保路基路面干燥、穩定,將水對結構的影響控制在可接受的范圍內。排水系統設計重點是引導路基附近的地表水排泄,并盡可能控制結構外地表水的沖刷與侵蝕作用,同時通過采取合理措施控制地下水位,降低地下水對路基的侵蝕作用。由此可以看出,路基路面排水設計對于路基穩定性及路面壽命都有著至關重要的影響。為了探究路面結構內部排水設計要點,并檢驗其應用效果,本文以我國某工程為例展開分析,并對其路面結構進行優化。
1 工程實例概況
西南地區某高速公路項目全長45.82km,建設沿線水文地質環境較為單一,地下水較為匱乏,主要為松散巖類孔隙水和基巖裂隙水,對混凝土材料有一定的侵蝕性。此外,該高速公路建設沿線存在分布較多沖溝的過濕路基段,受到農田等積水的影響整體呈現出軟塑性。本項目排水系統試驗主要針對全線邊緣排水展開,并采用多孔隙水泥穩定碎石方案設計基層排水系統。
2 內部排水系統設計
在排水設計上采用多孔隙水泥穩定碎石方案,基于不同路段挖填需求,本設計根據實際情況對內部排水采用不同設計方法。
2.1 填方路段排水系統
對于部分路段,可在路基兩側及內部分別布置排水設施,這主要由于水受重力作用會向外流到排水暗溝中,并借助排水管道進一步排泄至邊溝。對于超高的公路外側位置,還應額外設置縱向排水暗溝,引導橫向匯聚的水流沿路緣聚集至集水設備中,經由集水井附帶的排水管道排出公路范圍之外。
2.2 挖方路段排水系統
在設置排水系統時應當充分考慮路基超高段的影響,一般其內側排水可采取橫向、縱向相結合的排水溝設計,以引導水的順利排泄,同時防止邊溝水位過高而帶來的倒灌現象。基于工程條件及需求,制定挖方路段的排水設計方案:在排水系統外側分別設置排水溝及排水管,同時引導其沿橫向排水管流入邊溝。在排水管口位置可以加設一個逆止閥來防止溝中水倒流。對于挖方路段超高的外側位置,水可直接引導排入路緣處縱向排水暗溝,同時引導水沿橫向排水管進一步流入路緣處的窨井。
2.3 縱向排水暗溝和排水管
排水系統的側邊位置安設縱向排水暗溝,并在暗溝內埋設排水管,以達到匯聚、排泄水的目的。排水暗溝的位置一般選在路肩處,為了提升對水的引導作用,排水基層端部一般采用水泥或碎石鋪筑。
此外,排水管位置的確定往往直接決定排水系統的排水效率,一般需要略低于排水基層,以改善水分流的效果。對于填方位置,排水暗溝一般需要與基層持平,排水管底面可低于基層底面約20cm;對于挖方位置,考慮到水向挖方邊溝排泄,為了避免在強降水天氣下溝內雨水排泄不及時,排水管的高度一般不宜過低,排水管底面一般可低于基層底面約10cm。
2.4 橫向出水管和通風管
若填土高度不小于2m,則應按照固定間隔布置急流槽,間隔距離以40m為宜,以保障中央分隔帶的橫向排水順暢。同時為了滿足基層排水需求,可沿縱向按照固定間隔布置橫向排水管與通風管,間隔距離以40m為宜,且將其與排水溝之間形成連接,并借助急流槽將水引導并排出公路范圍之外。若涉及挖填交界處的排水設計,則還應額外附加橫向排水管。
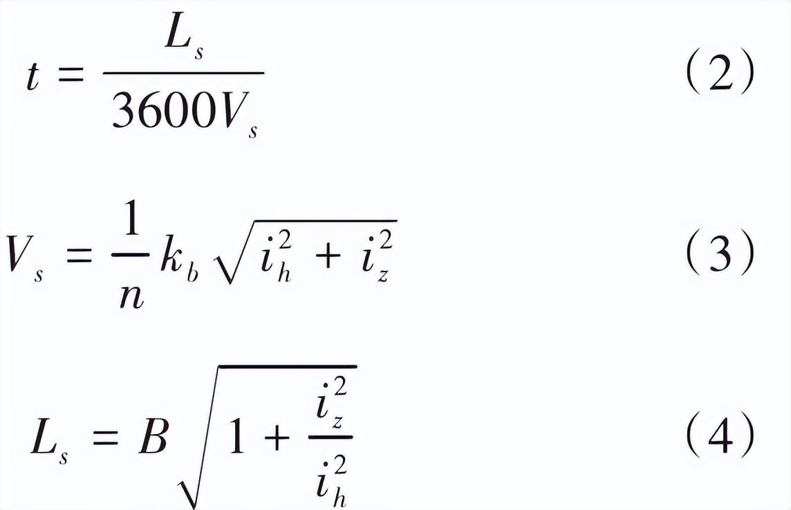
3 排水能力計算
3.1 排水基層材料的滲透能力
本項目的排水基層厚度定為18cm,假定施工過程中上層水泥侵入基層的深度為2cm,則可得到基層的有效深度為16cm,根據式(1)可計算得到材料的滲透系數最低限值:

本工程將排水基層材料的滲透系數定為1.411cm/s。按照材料滲透系數、空隙率之間的經驗換算公式k=3×10-5V a3.72,可算出基層材料對應的孔隙率為19.06%。
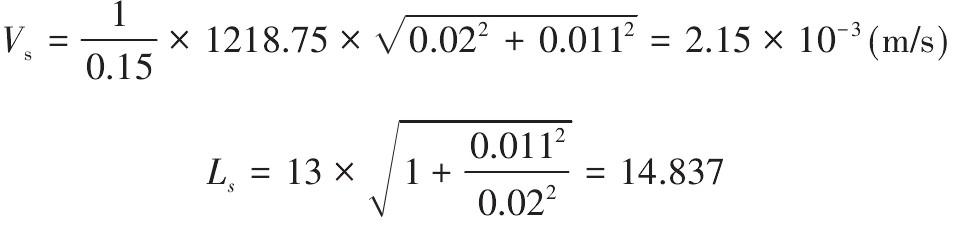
3.2 驗算自由水在排水基層的滲流時間
按照高速公路結構設計方案,可將水泥穩定碎石大致分為兩個不同部分,其中上層主要起到排水作用,厚度以18cm為宜,下層厚度則以20cm為宜。根據我國現行排水相關規范要求,路面滲透水在結構內的滲流時間應當控制在2h以內,且其滲流長度一般不宜大于45.6m。基于假定數據對本項目進行驗算,計算得到水的滲流時間t:

代入數據,得:

最終計算得t=1.91h<2h,符合規范要求。
在上述計算過程中,縱坡取試驗段縱坡iz、橫向超高坡度ih、透水性水泥穩定碎石有效孔隙率ne以及滲透系數Kb分別取1.10%,2%,15%,1218.75m/d。
3.3 邊緣排水溝管設計
橫向排水管的間距為40m,計算得到排水溝疏導的水滲入量為:

經計算,可得:

假定管徑d=8cm,則排水管泄水量為:

經計算,可得:

由上述計算分析過程可以發現排水管的排水能力符合我國現行規范要求。因此,在將排水管間距為40m時,8cm的排水管管徑滿足理論要求。
4 透水性水泥穩定碎石基層材料的組成設計
4.1 原材料性質
在實際工程中,排水基層和排水溝的填料一般采用多孔隙水泥穩定碎石混合料,主要包括水泥、砂石和水等。在選擇水泥時大多采用普通硅酸鹽水泥,砂石則以堅硬的人造石屑和30mm軋碎石為主,此外還可基于當地實際條件選用堅硬耐久的花崗巖石料用于施工。
4.2 級配設計
根據分析,材料的滲透系數應大于1500m/d,7d浸水無側限抗壓強度應不小于3.5~5MPa,這兩個指標可作為質量控制的關鍵,完成水泥穩定碎石混合料的設計。
基于施工現場石料調研結果,結合已有工程實踐經驗,初步得到本項目的級配設計,如表1所示。
表1 水泥穩定碎石混合料的初步級配 下載原圖

混合料內的粗集料顆粒相互擠壓形成嵌固的穩定結構,但結構內各顆粒間彼此沒有相互干涉作用;細集料顆粒又未能全部將粗集料的空隙填補密實,因此形成了排列緊密的空間骨架,其不僅具有較高的空隙率,而且能將結構整體強度維持在較高水平。
同時,水灰比W/C指標需要按照集料級配設計結果具體確定,并基于工程實際情況通過室內試驗進行優化。本項目集料選用花崗巖,采用室內試驗進行分析,以水灰比W/C=0.4的標準制作4組試件,并分別開展試驗,所得結果如表2所示。
表2 水泥穩定碎石混合料的強度、孔隙率 下載原圖

就上述試驗結果而言,本項目所用級配設計能夠在保證混合料孔隙率達到15.93%~18.97%水平的同時,使得抗壓強度達到4.24~5.94MPa的范圍,因此能夠基本滿足預期的力學及物理要求。
5 試驗路施工與質量控制
5.1 縱向邊緣排水暗溝
為了避免施工環境中的雜物掉入暗溝,縱向排水暗溝的施工一般安排在前置工序,在基層作業結束前完成。順著下基層邊緣位置開始作業,當開挖結束后還應及時安排專人進行檢測。當檢測結果滿足要求時,即可在溝底與外側鋪上一層土工布,預留足夠的回折寬度,并將集水管布置在溝內中央位置。集水管的擺放應保證一排且孔口朝上,使得管內構成弧形過水斷面。此外,還應用磚將管道固定,防止其發生滾落。
出水管、通風管通過彎管與排水管相連,連接位置要用膠水黏接牢固,并用防水涂料封堵密實。當管道鋪設并連接完成后,即可用原土回填并壓實處理。
5.2 孔隙水泥碎石排水基層
(1)下承面準備
下承面應當確保干凈、平實、堅硬,且具有特定的路拱,沒有松散、軟弱層。
(2)拌和
混合料在拌制完成后應當及時測定其中水泥的用量,若測得結果與預期不符則應當立即停機檢查,調整至滿足要求方可開始后續施工。盡可能減少由于水泥用量過多導致的材料收縮性過大,以避免開裂。
(3)攤鋪
在試鋪之前首先需要按照1.2的松鋪系數標準進行掛線,并借助自卸卡車來完成混合料的裝載與轉運,其運距一般以5km/20min為宜。攤鋪作業則選用了LTN1200型攤鋪機,將兩臺機械前后布置交錯作業,混合料在運抵現場經檢測合格后即可送至進料口,對于質量不滿足要求的應當按廢料進行處理。在試鋪作業結束后發現原選定的松鋪系數較大,因此改為1.18進行控制。
(4)碾壓
在攤鋪工序結束后即可開展碾壓,碾壓施工借助兩臺壓路機來進行,其規格分別為8t雙鋼輪、14t單鋼輪。碾壓時首先操作8t雙鋼輪壓路機完成1遍靜壓,隨后再操作14t單鋼輪壓路機以振動碾壓的方式碾壓兩遍,最后再操作8t雙鋼輪壓路機進行1遍靜壓。碾壓施工應當確保作業后表面沒有明顯輪印。為了保證施工能夠同時滿足壓實度和孔隙率的要求,應當以噸位、遍數及松鋪系數為重點展開質量控制,同時還應加強污染管理。
(5)養護
在碾壓完成并檢驗合格后即可進入養護環節。由于基層采用多孔材料進行施工,排水性能較好,因此其空隙率一般較大。為了確保其發揮基本排水功能,在碾壓工序結束后應當明確養護的重要性,避免雜物、碎石等對表面的污染,降低其對正常排水的影響。此外,在養護工序期間需要采取適當的保護措施,確保基層表面未被污染。
6 結語
本文以我國某工程為例,結合理論計算、實踐經驗等,從材料與結構兩個方面對路面內部排水設計進行了研究。同時,通過對配合比設計的計算分析,提出了基層設計的參數指導,并探討了強化質量控制的主要對策。
參考文獻
[1] 苗兆靜.高等級公路瀝青路面結構內部排水系統的設計及應用研究[J].公路工程,2018,43(3):277-281.
[2] 唐勇斌,徐國元,龍翔,等.路面結構內部排水系統排水效果的數值分析[J].中外公路,2016,36(5):26-31.
[3] 張啟瓊.高速公路大修工程路面排水結構施工與優化設計[J].建筑技術開發,2018,45(16):25-26.

聲明:我們尊重原創,也注重分享。有部分內容來自互聯網,版權歸原作者所有,僅供學習參考之用,禁止用于商業用途,如無意中侵犯了哪個媒體、公司、企業或個人等的知識產權,請聯系刪除
更多相關信息 還可關注中鐵城際公眾號矩陣 掃一掃下方二維碼即可關注

文章推薦
- 整治實施方案在應對市場變化和實際情況時,缺乏動態調整機制,如何解決?
- 如何確保鄉鎮國土空間規劃與全域土地綜合整治實施方案的有效銜接和融合編制?
- 產業在全域土地綜合整治中扮演什么角色?如何通過整治為產業發展提供空間和要素保障?
- 當前全域土地綜合整治面臨哪些主要規劃銜接問題?
- 如何劃定全域土地綜合整治的實施區域?
- 湖南“十五五”規劃建議全文來了!
- 全域土地綜合整治如何通過優化“三生空間”(生產、生活、生態)來服務“百千萬工程”
- 如何加強產業導入與運營管理,將整治后的土地資源優勢轉化為產業優勢和經濟優勢,避免土地再度閑置或低效利
- 如何通過建設用地整理,盤活農村存量、低效建設用地,并規范節余指標的產生與流轉?
- 如何將產業導入作為整治的“主引擎”,構建一二三產融合發展的產業空間布局?




